
Рис. 1
Рассмотрим ограниченную круговую задачу трех тел в трехмерном пространстве (три степени свободы, три обобщенные координаты). Пусть Земля движется строго по окружности (Рис 1.) Выразим гелиоцентрические координаты и соответствующие компоненты скорости Луны через углы ее прямого восхождения и склонения:
.jpg)
Уравнения движения можно получить, составив уравнения Лагранжа второго рода. Выражение для потенциальной энергии (отнесенной к массе Луны) очевидно и лаконично:
.jpg)
А вот для кинетической энергии Луны выражение весьма громоздко и поэтому не приводится. Получение его может стать неплохим упражнением для желающих!
Взятие частных производных от кинетической энергии, выражение для которой содержит 7 слагаемых, я тоже опускаю.
Не тронув первое и второе, перейдем сразу к десерту.
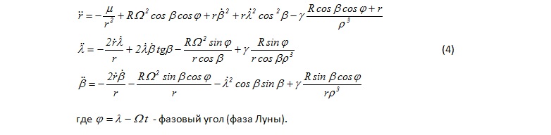
Вот они, уравнения движения Луны:
.jpg)
Не вдаваясь в глубокий анализ этих уравнений, сразу решим их численно.
Начальные данные: перигей Луны 358000 км, скорость 1024 м/с, наклонение орбиты 5°.
Картина знакомая. Большая полуось «дышит» с периодом чуть менее 210 суток (Рис. 2).

Рис. 2.
Фурье анализ прямого восхождения дает период обращения 27,32 суток (Рис. 3). Как доктор прописал!

Рис. 3.
Но самое интересное в другом. Луна в своем вращении вокруг Земли это волчок, ось которого наклонена к оси орбитального движения Земли. Тут видимо не обойдется без прецессии…
Теперь, когда координаты и скорость Луны известны в любой момент времени (4), можно представить, как ведет себя вектор орбитального момента Луны (ось волчка). Для этого достаточно построить проекцию этого вектора на плоскость эклиптики, т.е. посчитать всего две его компоненты (массу Луны считаем равной единице):

Расчетный отрезок времени – 9,3 года (Рис. 4). Конец вектора описал половину окружности! Модель неплохо отражает реальное положение дел, ведь мы знаем, что прецессионное движение лунного узла имеет период 18,6 лет.
Какая же сила вызывает прецессию? Ответ прост: сила Кориолиса.

Рис. 4.
К сожалению, полный цикл адекватно рассчитать не удается из-за ограничений численного метода.
Тем не менее, вывод можно сделать такой: в движении Луны при всей его сложности нет ничего удивительного, все объяснимо в рамках теоретической механики и Лагранжева формализма!
- Ingus's блог
- Войдите на сайт для отправки комментариев
- 7117 просмотров



В движении Луны нет ничего удивительного, кроме того, что она повернута к нам одним боком - словно привязана на веревочке, как шарик.
В Луне много чего удивительного. Например, ее визуальный диаметр на небе практически точно совпадает с солнечным. Это, действительно, удивительно. Есть особенности орбитального движения Луны, поэтому уважаемый Ingus так заинтересован в моделировании ее движения. Гравитационное поле Луны очень не равномерно. А вот то, что она повернута к нам одной стороной - это не очень удивительно. Таких спутников в Солнечной системе несколько. Например, Ганимед у Юпитера. Это хорошо объясняется действием приливных сил внутри спутника.
Благодарю. Но у меня другое мнение, возможно, неприемлемое для вас. Все, что движется вокруг центрального тела так, как Луна - поддерживается в этом состоянии искусственно. При естественном движении Луна давно бы поворачивалась всеми боками к Земле. И периодически мы бы видели то всю ее, то лишь области полюсов. Это - нормальное состояние спутника. Если же гравитационное поле Луны неравномерно - это только подтверждает ее искусственное поддержание в таком состоянии и положении. Это значит, что у нее НЕТ собственного поля гравитации. Странно, не правда ли?
Уважаемый Ingus! Приятно, что Вы не изменяете своей цели в понимании Луны. Ваш проект Неочевидное вероятное пополнился новым материалом.
Руководитель Лаборатории космических исследований УлГУ проводит в настоящее время курс лекций и Космофизический практикум магистрантам СГАУ имени С.П. Королёва и много рассказывал о Луне, добавляя, что Луна таит в себе много загадочного.
Уважаемая Полина! Луна действительно таит в себе много загадочного, но вот в ее движениях по орбите одной загадкой стало меньше) Передайте, пожалуйста, мою просьбу Руководителю Лаборатории космических исследований УлГУ об использовании представленной модели движения Луны в Космофизическом практикуме. Может кто из магистрантов сможет повторить вывод уравнений?
Уважаемый Иван!
Задача о движении Луны, конечно, интересна и может быть полезна в теоретической механике. Для практикума эта задача тоже представляет интерес, но только в том случае, если имеются регулярные прямые измерения положения Луны и характеристик ее собственного вращения. Тогда можно было бы реальные данные сравнивать с модельными. Без этого модельные расчеты полезны для практических занятий по теоретической механике, т.е. по решению задач. Ваши расчеты показывают, что такая модель относительно проста и вполне может быть реализована при расчетах в современных пакетах вычислений. Спасибо за информацию. Где бы только найти регулярные измерения положения Луны? У меня была идея использовать аналогичные данные по спутникам любых других планет, но для них также нет регулярных измерений.
Уважаемый Виктор Михайлович!
Я наверное напрасно назвал орбитальное движение Луны вращением. В моей модели нет вращения Луны как твердого тела. У меня Луна - точка.
Прямых измерений положения Луны я не встречал, но на сайте JPL NASA можно снять посуточные эфемериды Луны. Уверен, они с огромной точностью дают ее положение. Я кстати снял их до 2020 года. Для Пасадены. Или где там у них JPL...
Уважаемый Ingus! Виктор Михайлович Журавлев знает, что Вы представили на сайте свои расчёты, но пока не видел. В настоящее время он занят практически весь день преподавательской деятельностью. После возвращения в Ульяновск обязательно посмотрит.
Ваша "наивность" о магистрантах нашего времени вызывает дополнительное уважение к Вам.