Многие открытия в физике были сделаны по аналогии. Например, Л.Лагранж и П.Лаплас ввели в математическую теорию тяготения понятие потенциальной функции по аналогии с использованием данного понятия Даламбером и Эйлером в гидродинамике. Кулон открыл закон взаимодействия электрических и магнитных точечных зарядов, оказавшийся аналогом закона всемирной гравитации Ньютона [i].
Третий закон Кеплера гласит, что квадраты периодов обращения планет вокруг Солнца относятся как кубы больших полуосей орбит планет. Это справедливо не только для планет, но и для их спутников. А как относятся квадраты периодов обращения к кубам полуосей для каждой планеты в отдельности? Из закона сохранения полной энергии нетрудно вывести следующую формулу [ii]:
a3/T2=GM/4π2
где в случае с планетами GM – гравитационный параметр Солнца, равный 1,326*1020 м3/с2.
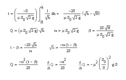
Рассмотрим не связанную на первый взгляд с законами Кеплера задачу истечения жидкости из открытого цилиндрического сосуда [iii]. Очевидно, скорость истечения жидкости будет падать по мере уменьшения уровня жидкости в сосуде
Рис.1.
Зная время опорожнения сосуда до уровня h, найдем закон изменения расхода Q(t) и его производную. Оказывается, скорость изменения расхода постоянна и имеет размерность м3/с2.
Здесь Q – расход жидкости, μ- коэффициент расхода, зависящий от числа Рейнольдса. Остальные обозначения понятны из Рис.1.
При движении планеты вокруг Солнца и спутника вокруг Земли происходит перекачка потенциальной энергии в кинетическую и обратно. Другими словами, сосуд потенциальной энергии наполняется и опорожняется. При этом скорость изменения объема прокачанной «жидкости» постоянна и равна GM/4π2 м3/с2.
В случае с сосудом мощность истечения зависит от организации стока – размеров входного и выходного отверстий. Почему бы в случае гравитации не создать модель на основе стока мирового эфира через локальную «черную дыру», имеющую в каждом конкретном случае свою конфигурацию и мощность втягивания, т.е. тяготения?
Гидродинамическая аналогия - очень неплохая модель. Ей бы цены не было, если бы эфир можно было бы обнаружить. Есть даже такая аналогия, которую широко использовали в XIX веке. Если поместить два шара в поток жидкости, плоско параллельный на бесконечности, то из уравнений гидродинамики будет следовать, что эти шары притягиваются к друг другу по закону обратных квадратов, как в законе тяготения Ньютона. Соответствующая сила вызвана обтеканием шаров жидкостью. Красиво. Но эфир пока не обнаружен как специфическая среда, заполняющая пространство. Нет экспериментов, которые бы указвали на ее существование. По крайней мере, пока. Так что от эфира пришлось отказаться в начале XX века, хотя это было сделано физиками с большой неохотой.
Гидродинамическая аналогия
для объяснения механизма гравитации.
Многие открытия в физике были сделаны по аналогии. Например, Л.Лагранж и П.Лаплас ввели в математическую теорию тяготения понятие потенциальной функции по аналогии с использованием данного понятия Даламбером и Эйлером в гидродинамике. Кулон открыл закон взаимодействия электрических и магнитных точечных зарядов, оказавшийся аналогом закона всемирной гравитации Ньютона [i].
Третий закон Кеплера гласит, что квадраты периодов обращения планет вокруг Солнца относятся как кубы больших полуосей орбит планет. Это справедливо не только для планет, но и для их спутников. А как относятся квадраты периодов обращения к кубам полуосей для каждой планеты в отдельности? Из закона сохранения полной энергии нетрудно вывести следующую формулу [ii]:
a3/T2=GM/4π2
где в случае с планетами GM – гравитационный параметр Солнца, равный 1,326*1020 м3/с2.
Рассмотрим не связанную на первый взгляд с законами Кеплера задачу истечения жидкости из открытого цилиндрического сосуда [iii]. Очевидно, скорость истечения жидкости будет падать по мере уменьшения уровня жидкости в сосуде
Рис.1.
Зная время опорожнения сосуда до уровня h, найдем закон изменения расхода Q(t) и его производную. Оказывается, скорость изменения расхода постоянна и имеет размерность м3/с2.
Здесь Q – расход жидкости, μ- коэффициент расхода, зависящий от числа Рейнольдса. Остальные обозначения понятны из Рис.1.
При движении планеты вокруг Солнца и спутника вокруг Земли происходит перекачка потенциальной энергии в кинетическую и обратно. Другими словами, сосуд потенциальной энергии наполняется и опорожняется. При этом скорость изменения объема прокачанной «жидкости» постоянна и равна GM/4π2 м3/с2.
В случае с сосудом мощность истечения зависит от организации стока – размеров входного и выходного отверстий. Почему бы в случае гравитации не создать модель на основе стока мирового эфира через локальную «черную дыру», имеющую в каждом конкретном случае свою конфигурацию и мощность втягивания, т.е. тяготения?
[i] http://www.metodolog.ru/node/575
[ii] http://ru.wikipedia.org/wiki/Законы_Кеплера
[iii] http://gidravl.narod.ru/istechenie.html
Гидродинамическая аналогия - очень неплохая модель. Ей бы цены не было, если бы эфир можно было бы обнаружить. Есть даже такая аналогия, которую широко использовали в XIX веке. Если поместить два шара в поток жидкости, плоско параллельный на бесконечности, то из уравнений гидродинамики будет следовать, что эти шары притягиваются к друг другу по закону обратных квадратов, как в законе тяготения Ньютона. Соответствующая сила вызвана обтеканием шаров жидкостью. Красиво. Но эфир пока не обнаружен как специфическая среда, заполняющая пространство. Нет экспериментов, которые бы указвали на ее существование. По крайней мере, пока. Так что от эфира пришлось отказаться в начале XX века, хотя это было сделано физиками с большой неохотой.