 Сегодня я расскажу о задаче, с которой столкнулся в книге П. Маковецкого «Смотри в корень» http://n-t.ru/ri/mk/sk035.htm.
Сегодня я расскажу о задаче, с которой столкнулся в книге П. Маковецкого «Смотри в корень» http://n-t.ru/ri/mk/sk035.htm.
Там, в частности, он пишет, что «Спутник-гантель тоже будет колебаться (с периодом, близким по величине к периоду обращения вокруг Земли и почти не зависящим от размеров и формы гантели) вокруг прямой, соединяющей его с центром Земли.»
Я решил проверить это утверждение. Для этого мне потребовалось научиться записывать уравнения Лагранжа первого рода – дифференциальные уравнения движения механической системы в декартовых координатах, содержащие множители Лагранжа.
Идеализированный спутник-гантель представляет собой две точечные массы, соединенные невесомым стержнем (связью). На каждую из этих масс действуют две силы – сила тяжести и сила реакции связи (Рис. 1).
Запишем второй закон Ньютона для нашей системы:
.jpg)
Уравнение связи накладывает ограничение на взаимное перемещение половинок гантели:

Проекции реакций связи на координатные оси пропорциональны частным производным от функции связи по соответствующим координатам. Коэффициенты пропорциональности принято называть множителями Лагранжа.
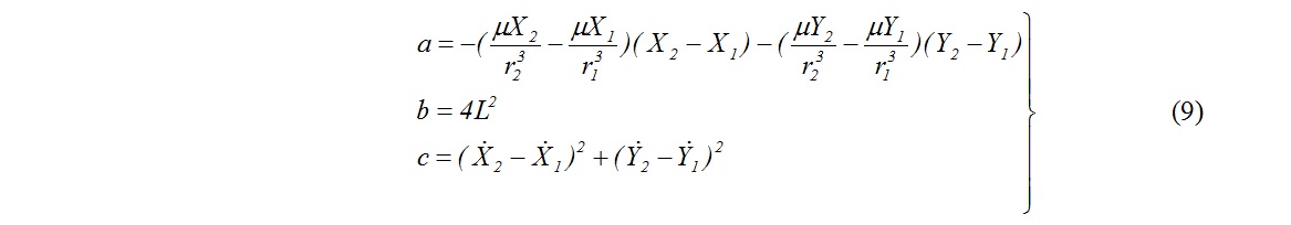
 Допустим, массы половинок гантели равны:
 Допустим, массы половинок гантели равны:
Тогда система векторных уравнений (1) в декартовых координатах будет выглядеть следующим образом:

Здесь есть одна тонкость с определением множителей Лагранжа. Их мы найдем с помощью двойного дифференцирование уравнения связи. После первого дифференцирования (2) получим

После второго дифференцирования -

В то же время (см. (4))

Умножая левую и правую части (7) на разности координат и прибавляя разности скоростей, приходим к выражению (8):
.jpg)
Складывая первую и вторую строчки (8), получаем согласно (6) слева 0. И, вводя обозначения

получаем
 .jpg)
Пусть в начале все точки гантели расположены горизонтально по оси X и имеют одинаковую скорость, равную круговой для центра масс С. Решив систему уравнений (4) найдем координаты и скорости половинок гантели.
По теореме косинусов угол между направлением на центр Земли и осью гантели можно определить из следующего отношения:
.jpg)
где Xc, Yc– координаты центра масс, которые равны:
.jpg)
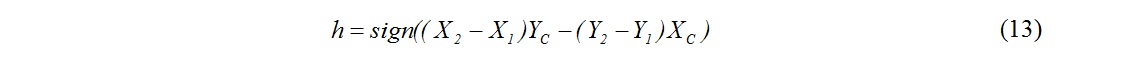
Однако здесь нас ждет еще один тонкий момент – знак угла. Если гантель закручивается по часовой стрелке, угол будем считать положительным. В зависимости от направления вектора
L x rc определим знак угла "дельта" с помощью функции
.jpg)
Теперь можно записать выражение для зависимости угла наклона нашей гантели к «местной вертикали»:

Изменение угла "дельта" со временем для высоты круговой орбиты 200 км и длины гантели 10 м можно видеть на Рис. 2. Здесь фи(t) это косинус аномалии центра масс.

Рис. 2.
Период обращения центра масс составляет около 88,5 мин. Видно, что период колебания гантели примерно на треть меньше! Это неожиданный результат.
Однако, если мы обратимся к Белецкому В.В. [1], то узнаем вот что:

Колебания гантели, оказывается, не так уж малы – амплитуда их равна примерно 35°. Поэтому их период чуть больше, указанного Белецким.
Теперь, когда уравнения движения нашей системы известны, открывается простор для исследований. Интересно, какое влияние на параметры движения оказывает длина связи? Какие напряжения возникают в ней? Как будет происходить движение, если массы на концах стержня будут разными? Как поведет себя система на эллиптической орбите?
Источники информации.
1. Белецкий В. В. Движение искусственного спутника Земли относительно центра масс. — М.: Наука, 1965. — 416 с.
- Ingus's блог
- Войдите на сайт для отправки комментариев
- 6862 просмотра



Не понимаю, зачем такие сложности. Да, спутник испытывает колебания-биения, как и сама Земля.
Обусловлено это как его вращением вокруг собственной оси, так и его обращением вокруг планеты. И расчеты возможно сложноваты из-за неизвестности ключевых точек, в которых оказывается спутник или планета во время этого движения - вокруг оси вращения.
Точки на линии 180-0/360, это полюса вращения.
Т.е., сверло вращается, скажем так, вокруг линии 180-0/360 градусов, и его полюса лежат в т. 180-0/360.. Механизм однинаков для всех без исключения вращающихся тел и систем.
270-90 - это точки, в которых тело имеет наибольшее и наименьшее расстояние до центра вращения Они и обуславливают эффект биения и пульсации. С единственной разницей - у сверла есть фиксация одного полюса вращения., что только усиливает этот эффект. У планеты и спутника этого нет, что смягчает эффект.
Это и есть ключевые точки любого вращающегося тела/системы. отсюда и нужно танцевать.
И нет нужды ни в каких "гантелях"
Уважаемая Надежда!
Ну вот Вы уже и здесь "намусорили":) Полюс вращения сверла... Нет нужды в гантелях... Я думаю, что градус абсурда в Ваших постах уже привлек внимание организаторов сайта. Или Вы троллингом занимаетесь?;)
Удивляюсь вам - а как можно еще назвать точку крепления сверла в зажимах? И вращается оно вокруг своей оси - почему же нет полюса, если есть ось?
и если бы была иная конструкция, при которой сверло не зажималось, а свободно вращалось - его люфт, или биение, или пульсация, были бы намного меньше. Жаль, что вы этого не понимаете. Потому и меня не можете понять.
И вы уже вторично обращаетесь к организаторам сайта - вам не нравятся мои мысли? Что в них такого "мусорного"? То, что вы не хотите соглашаться с очевидным - не моя проблема.
Но когда для решения задачи берут вовсе ерунду - Система Земля-Луна имеет одни значения, У нее постоянная своя, система Солнце-планеты - совершенно другие, а их каким-то уж вовсе фантастическим образом соединяют и что-то решают - тогда интересно, где сам этот "мусор"? Ну, а самое великолепное это то, что данная задача НЕ имеет общего решения. И я неправа?
Я вот жду, когда вы признаетето, что я права. Потому что сами это прекрасно понимаете. И постоянно подтверждаете.
Я понимаю того, кто создал эту задачу. Он не знал того, о чем я говорю. И сама задача из той же оперы - НЕСООТВЕСТВИЕ третьего з-на Кеплера имеюшимся фактам. Ну скажите, что не эта причина возникновения задачи?
Уважаемый Ingus!
Статья перенесена в Ваш проект Неочевидное вероятное. Пока эта публикация не поддаётся корректировке в соответствии с правилами, принятыми создателями сайта. Пожалуйста, добавьте в аннотацию иллюстрацию, подходящую замыслу.
Админ сайта и руководитель Лаборатории загружены работой, поэтому давайте вместе постараемся сделать оформление привычным на сайте. Хотя проект называется Неочевидное... При таком названии, наверное, возможны отклонения от стандарта
Хорошо, Полина! Сегодня все исправлю) Я так понял надо текст текстом сделать, а картинки картинками) Чтобы неочевидное стало очевидным) Вот бы формулы еще Латексом заделать... Но уж больно они громоздкие..